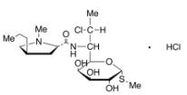
7-差向鹽酸克林霉素標準品
編號:RE582490
英文:7-Epi Clindamycin Hydrochloride
別名:Methyl 7-Chloro-6,7,8-trideoxy-6-[[[(2S,4R)-1-methyl-4-propyl-2-pyrrolidinyl]
carbonyl]amino]-1-thio-D-erythro-α-D-galactooctopyranoside Hydrochloride; (2S-trans)-Methyl 7-Chloro-6,7,8-trideoxy-6-[[(1-methyl-4-propyl-2-
pyrrolidinyl)carbonyl]amino]-1-thio-D-erythro-α-D-galactooctopyranoside Hydrochloride; Antibiotic U 21251F Hydrochloride;
規格:1mg
結構圖:

分子式:C??H??Cl?N?O?S
分子量:461.44
隨貨:COA、圖譜
聲明:此對照品、標準品由國家標準品網提供查詢購買服務
注:點擊cas,或者搜索:名稱、編號、cas均可顯示價格