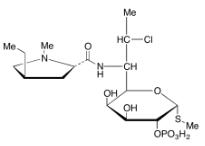
克林霉素B 2-磷酸酯標準品
編號:RC580095
英文:Clindamycin B 2-Phosphate
別名: (2S-trans)-Methyl 7-Chloro-6,7,8-trideoxy-6-[[(4-ethyl-1-methyl-2-pyrrolidinyl)carbonyl]amino]-1-thio-L-threo-α-D-galacto-Octopyranoside 2-(dihydrogen phosphate);
規格:0.5mg
結構圖:

分子式:C??H??ClN?O??PS
分子量:490.94
隨貨:COA、圖譜
產品類別:多尼培南雜質
聲明:此對照品、標準品由國家標準品網提供查詢購買服務
注:點擊cas,或者搜索:名稱、編號、cas均可顯示價格