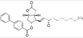
(3aR,4R,5R,6aS)-Hexahydro-5-hydroxy-4-(3-oxo-1-decenyl)-2H-cyclopenta[b]furan-2-one 5-(4-Phenylbenzoate)標準品
貨號:H294035
英文名稱: (3aR,4R,5R,6aS)-Hexahydro-5-hydroxy-4-(3-oxo-1-decenyl)-2H-cyclopenta[b]furan-2-one 5-(4-Phenylbenzoate)
別名: [3aR-[3aα,4α(E),5β,6aα]]-[1,1?-Biphenyl]-4-carboxylic Acid Hexahydro-2-oxo-4-(3-oxo -1-decenyl)-2H-cyclopenta[b]furan-5-yl Ester;
規格:25mg,250mg
結構式:

CAS號:39865-76-4
分子式:C30H34O5
分子量:474.59
產品類別:加拿大標準品,北京萊耀生物提供
注:產品名稱以英文名稱為準