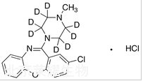
鹽酸洛沙平-d8標準品
貨號:L472752
英文名稱:Loxapine-d8 Hydrochloride
別名:2-Chloro-11-(4-methyl-1-piperazinyl)dibenz[b,f][1,4]oxazepine-d8 Hydrochloride; Oxilapine-d8 Hydrochloride; CL-62362-d8 Hydrochloride; S-805-d8 Hydrochloride; SUM-3170-d8 Hydrochloride;
規格:1mg,10mg
結構式:

CAS號:1246820-19-8
分子式:C18H11D8Cl2N3O
分子量:372.32
產品類別:加拿大標準品,北京萊耀生物提供
注:產品名稱以英文名稱為準