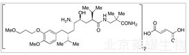
(2S,4S,5S,7R)-Aliskiren Fumarate (2:1)標準品
貨號:A536020
英文名稱: (2S,4S,5S,7R)-Aliskiren Fumarate (2:1)
別名: (αS,γS,δS,ζR)-δ-Amino-N-(3-amino-2,2-dimethyl-3-oxopropyl)-γ-hydroxy-4-methoxy-3-(3-methoxypropoxy)-α,ζ-bis(1-methylethyl)benzeneoctanamide (2E)-2-Butenedioate (2:1)
規格:0.5mg,5mg
結構式:

CAS號:1630036-82-6
分子式:C64H110N6O16
分子量:1219.59
產品類別:加拿大標準品,北京萊耀生物提供
注:產品名稱以英文名稱為準