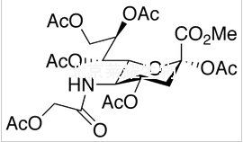
2,4,7,8,9-Pentaacetyl-D-N-acetylglycolylneuraminic Acid Methyl Ester標準品
貨號:P224300
英文名稱:2,4,7,8,9-Pentaacetyl-D-N-acetylglycolylneuraminic Acid Methyl Ester
別名:2,4,7,8,9-Pentaacetate-N-[(acetyloxy)acetyl]-neuraminic Acid Methyl Ester;
規格:10mg,100mg
結構式:

CAS號:118865-38-6
分子式:C24H33NO16
分子量:591.52
產品類別:加拿大標準品,北京萊耀生物提供
注:產品名稱以英文名稱為準