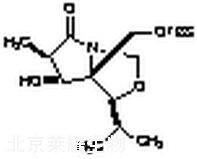
(3R,4S,5S,6S)-1-Aza-5-(t-butyldimethylsilyloxymethyl)-4-hydroxy-6-isopropyl-3-methyl-7-oxabicyclo[3.3.0]-octan-2-one標準品
貨號:A795450
英文名稱: (3R,4S,5S,6S)-1-Aza-5-(t-butyldimethylsilyloxymethyl)-4-hydroxy-6-isopropyl-3-methyl-7-oxabicyclo[3.3.0]-octan-2-one
別名: [1S-(1α,6α,7α,7aα)]-7a-[[[(1,1-Dimethylethyl)dimethylsilyl]oxy]methyl]tetrahydro-7-hydroxy-6-methyl-1-(1-methylethyl)-3H,5H-pyrrolo[1,2-c]oxazol-5-one;
規格:2.5mg
結構圖:

CAS號:145451-95-2
分子式:C??H??NO?Si
分子量:343.53
注:產品名稱以英文名稱為準