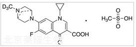
甲磺酸達氟沙星-d3標準品
貨號:D153402
英文名稱:Danofloxacin-d3 Mesylate
別名:1-Cyclopropyl-6-fluoro-1,4-dihydro-7-[(1S,4S)-5-(methyl-d3)-2,5-diazabicyclo[2.2.1]hept-2-yl]-4-oxo-
規格:1mg,10mg
結構式:

CAS號:1217860-94-0
分子式:C20H21D3FN3O6S
外觀:Off-White to Light Tan Solid
產品類別:加拿大標準品,萊耀生物提供
注:產品信息以英文名稱為準