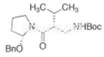
[1-(2-Benzyloxymethyl-pyrrolidine-1-carbonyl)-2-methyl-propyl]-carbamic Acid tert-Butyl Ester標準品
貨號:B286700
英文名稱:[1-(2-Benzyloxymethyl-pyrrolidine-1-carbonyl)-2-methyl-propyl]-carbamic Acid tert-Butyl Ester
規格:500mg
結構圖:

CAS:1217630-30-2
分子式:C??H??N?O?
分子量:404.54
產品類別:進口標準品,國家標準品網提供
注:搜索產品名稱、編號、cas號即可顯示價格